今天是:

新闻公告

学院公告

当前位置: 首页 >> 新闻公告 >> 学院公告 >> 正文

人文艺术学院2025-2026学年第2学期教材选用公示

作者:徐玥 编辑:李鑫 审核: 发布日期:2026-01-04    点击:

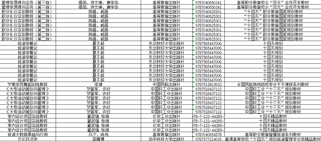
    为加强对教学工作的指导,促进教材选用工作更加科学、可行,根据《南京旅游职业学院教材管理办法》,现将人文艺术学院2025-2026学年第2学期选用教材公示如下:


                                                                                                                                                                                                                                              (2025-2026学年第2学期选用教材信息)

                                                                                                                                                                                                                                                                        人文艺术学院